买琴买鼓,就找魔菇!

 找回密码
 注册
搜索
楼主: benson1600

一首12小节爵士布鲁斯乐曲的乐理分析

[复制链接]
发表于 2009-2-18 16:06:35 | 显示全部楼层
吉他中国微信公众号
原帖由 duoduo1979 于 2009-2-15 18:09 发表
我也一直困惑首调问题!!
各位高手弹大小调BIUSE时怎么看待调性!!
我是这样的:比如C大调BIUES时我是按C调看,C小调BIUES时脑海里反映的却是C小调!!也就是按着Eb大调弹!!
不知这样可以么??还是都按固定调也就是C调看 ...


个人理解,Cm就是Cm,即时它的音跟Eb Major是一样的,可是弹奏的时候脑子里应该有明确的Cm的概念,这样有利于记忆,理解,以及更深层次的:即兴,Blues的魅力就在于它的大小调部分,在于它的"属"特性.
发表于 2009-2-18 16:25:11 | 显示全部楼层
吉他中国抖音
原帖由 西方常胜 于 2009-2-15 14:04 发表
我也一直困惑首调问题!!
各位高手弹大小调BIUSE时怎么看待调性!!
我是这样的:比如C大调BIUES时我是按C调看,C小调BIUES时脑海里反映的却是C小调!!也就是按着Eb大调弹!!
不知这样可以么??还是都按固定调也就是C调看 ...


C大调BIUES时请把C音当作1,C小调BIUES时请把C音当作6
发表于 2009-2-18 16:30:44 | 显示全部楼层
GC视频号
原帖由 duoduo1979 于 2009-2-15 18:09 发表
我认为你的理解是正确的,C小调BIUES实际就是Cm小调,对应就是Eb大调没错!
所以C大调Blues其实就是A小调的音阶,要不然C-F-G这样走加上3b和7b不和谐。或者是自然音阶按Blues的方式来走C-F-G,去掉3b和7b,不过这还是Blues吗


一个音阶的开始音在哪里很重要。

另外搞懂3b, 5b, 7b与I, IV, V级和弦以及音阶之间的关系甚至作用更重要。
 楼主| 发表于 2009-2-18 21:07:01 | 显示全部楼层
买琴买鼓,就找魔菇
继续讨论。
在传统12小节属和弦布鲁斯里面,一级可以用的音阶有很多。以C调为例,在此列举几个:

1,C mixolydian音阶  

2, C blues音阶

3, C 大调五声音阶

4,  C bebop音阶

5,   C Dorian音阶



4级可用的音阶,还以C调为例:

1,  F mixolydian音阶

2,  F blues音阶

3,  F 大调五声音阶





5级可用音阶, 以C调为例:

1, G mixolydian音阶

2,    G  blues音阶

3, G  dorian音阶

4,  G  大调五声音阶

欢迎大家继续补充!
发表于 2009-2-18 21:24:08 | 显示全部楼层
原帖由 beaver 于 2009-2-18 16:25 发表


C大调BIUES时请把C音当作1,C小调BIUES时请把C音当作6


洪老师,我在学习blues的时候,弹C大调blues,我就弹1,2,b3,3,5,6,弹C小调的时候就是弹 1,b3,4,b5,5,b7,这样来记,好像跟你说的不太一样。
发表于 2009-2-19 09:12:54 | 显示全部楼层
原帖由 canibal 于 2009-2-18 21:24 发表


洪老师,我在学习blues的时候,弹C大调blues,我就弹1,2,b3,3,5,6,弹C小调的时候就是弹 1,b3,4,b5,5,b7,这样来记,好像跟你说的不太一样。


你弹C小调的时候把C当成do来用?
发表于 2009-2-19 09:26:56 | 显示全部楼层
原帖由 benson1600 于 2009-2-18 21:07 发表
继续讨论。
在传统12小节属和弦布鲁斯里面,一级可以用的音阶有很多。以C调为例,在此列举几个:

1,C mixolydian音阶  

2, C blues音阶

3, C 大调五声音阶

4,  C bebop音阶

5,   C Dorian音阶
...



这样说起来,会让初学Jazz Blues的朋友头疼。。。

呵呵,如果有热心的人。。。贴上指型图片就好了

[ 本帖最后由 声音地带 于 2009-2-19 09:30 编辑 ]
发表于 2009-2-19 09:30:03 | 显示全部楼层
嗯,是的,后面的音就按照小调blues的音程依次蹦出来.拿别的调说吧,A小调blues,我就弹 6,1,2,b3,3,5,  A大调blues就弹的 6,7,1,b2,3,b5. 不知道其他的朋友弹的是怎么样.
发表于 2009-2-19 09:32:41 | 显示全部楼层
原帖由 benson1600 于 2009-2-18 21:07 发表
继续讨论。
在传统12小节属和弦布鲁斯里面,一级可以用的音阶有很多。以C调为例,在此列举几个:

1,C mixolydian音阶  

2, C blues音阶

3, C 大调五声音阶

4,  C bebop音阶

5,   C Dorian音阶
...


嗯嗯, Dorian会出带小调风味的jazz味,而mixolydian会有带大调风味的jazz味,应该没记错,呵呵...关于这些调式,Frank Gambale有一套教材,做得挺好的.
 楼主| 发表于 2009-2-19 12:42:10 | 显示全部楼层
一般12小节a小调布鲁斯和弦进行是这样的:
Am7--Am7--Am7-- Am7--Dm7--Dm7--Am7--Am7--F7--E7+9--Am7--E7+9

其中,Am7可以用的音阶有A  AEOLIAN音阶,A  DORIAN音阶, A  BLUES音阶 ,A 小调五声音阶;  
Dm7可以用的音阶有 D  DORIAN音阶,D  BLUES音阶;
F7 可以用的音阶有 F  MIXOLYDIAN音阶;
E7+9 可以用的音阶有 A  HARM.MINOR音阶,E  PHRYGIAN音阶,E  MELODY.MINOR音阶;

我的一个a小调布鲁斯示范:
http://v.youku.com/v_show/id_XNjc2ODU3NTY=.html
 楼主| 发表于 2009-2-19 15:43:53 | 显示全部楼层
再给大家提供一个12小节C 调 布鲁斯练习曲视频,和弦进行也是1-4-1-1-4-4-1-6-2-5-1&6-2&5。有兴趣的朋友可以尝试扒带练习,最好能分析一下每小节所用音阶。

http://v.youku.com/v_show/id_XNzMwNDk0OTI=.html
发表于 2009-2-19 16:10:14 | 显示全部楼层
谁活的高兴谁自己知道 呵呵

再次支持LZ!

 楼主| 发表于 2009-2-19 17:14:26 | 显示全部楼层
原帖由 声音地带 于 2009-2-19 09:26 发表



这样说起来,会让初学Jazz Blues的朋友头疼。。。

呵呵,如果有热心的人。。。贴上指型图片就好了


一般来说,想学爵士吉他的朋友,必须先要掌握一些有关音阶调式方面的理论。
在这里推荐初学者看看《征服琴海》这套书。里面爵士吉他的初级理论基本都涉及到了。
发表于 2009-2-19 17:43:20 | 显示全部楼层
原帖由 benson1600 于 2009-2-19 17:14 发表


一般来说,想学爵士吉他的朋友,必须先要掌握一些有关音阶调式方面的理论。
在这里推荐初学者看看《征服琴海》这套书。里面爵士吉他的初级理论基本都涉及到了。


其实讲音阶调式的书很多。。。呵呵,《征服琴海》那本书是很不错!

能把这书啃下来爵士就算入门了。
 楼主| 发表于 2009-2-20 21:05:45 | 显示全部楼层
继续讨论呀兄弟们!
初学者有不明白的地方可以在帖子里提出来,我将尽量解答。
发表于 2009-2-20 21:54:58 | 显示全部楼层
我来问一个,
-------------------------------------------------------------------------------------
在传统12小节属和弦布鲁斯里面,一级可以用的音阶有很多。以C调为例,在此列举几个:

1,C mixolydian音阶  

2, C blues音阶

3, C 大调五声音阶

4,  C bebop音阶

5,   C Dorian音阶



4级可用的音阶,还以C调为例:

1,  F mixolydian音阶

2,  F blues音阶

3,  F 大调五声音阶





5级可用音阶, 以C调为例:

1, G mixolydian音阶

2,    G  blues音阶

3, G  dorian音阶

4,  G  大调五声音阶

欢迎大家继续补充!
----------------------------------------------------------------------------------
1. 每个和弦在演奏中可以用到这么多调式,一般情况(特殊情况不考虑)怎么处理和弦间的调式连接问题,是不是一定要用和弦的内音做该和弦小节的首音?还是用调式音阶的根音做该小节的首音?或者是整个调式音节的任意音符都可以用?
2. 另外调式可选虽然比较多,但是同时也引入了一些和弦的外音,是否都可以用,如何处理这些音符会更和谐?(我一般就用短拍快速过渡,时值就较长的音符就非得用和弦内音,主要还是担心出现不和谐很突兀的声音)
3. 如果当作爵士乐处理,旋律感可以不是很强,似乎各个调式之间跨度选择的余地可以很大,但是对于一些要求一定旋律感的solo,单纯用调式来看会不会 引起 演奏旋律的断层现象?

不知道自己是不是问得清楚了,知道自己想问什么,但是似乎表达上有点问题,汗~~~

[ 本帖最后由 duoduo1979 于 2009-2-20 21:56 编辑 ]
发表于 2009-2-21 10:26:08 | 显示全部楼层
我想问的还是刚才跟洪老师讨论的那个问题,应该还是所谓哦的首调和固定调的问题。简单的说,大家在弹A小调的时候,是把A当成6,还是当成1呢?那A大调的时候呢? 按我的理解,如果是用固定掉系统的话,不管在什么调中,A都是唱6。大家踊跃发言,谢谢大家
发表于 2009-2-21 10:35:01 | 显示全部楼层
我在弹A小调的时候把A当成6,弹A大调的时候把A当成1的。
 楼主| 发表于 2009-2-21 21:08:57 | 显示全部楼层

回复 56# duoduo1979 的帖子

1, 小节内第一个音并不是很重要,当然最好是和弦内音或所选调式音阶内的音符。关键是要把握强拍上的音符,时值长的音符,要能分清楚主干音与过渡音的区别。
2, 一般来说,和弦外音主要表现为倾向和弦内音的半音过渡音或调式内经过音。我目前稍能掌握的也就这两种外音。降5级替代和弦用法以及变化和弦所常用的旋律小音阶我还很不熟练。
3, 第3个问题基本贯穿学习爵士的始终了,我目前只是初学,还没有什么心得,只会硬着头皮套用一些比较熟练的指型上的音,旋律的悦不悦耳目前还顾不上了。
发表于 2009-2-23 08:58:21 | 显示全部楼层
终于懂了你上次说的走和声音阶,1-4-5进行里面不能单单只用I级的音阶,哈哈,今天看懂了..谢谢拉,雷老师!
发表于 2009-2-23 09:08:12 | 显示全部楼层
啥是乐理,敢问????
发表于 2009-2-23 09:57:04 | 显示全部楼层
回复 56# duoduo1979 的帖子
1, 小节内第一个音并不是很重要,当然最好是和弦内音或所选调式音阶内的音符。关键是要把握强拍上的音符,时值长的音符,要能分清楚主干音与过渡音的区别。
2, 一般来说,和弦外音主要表现为倾向和弦内音的半音过渡音或调式内经过音。我目前稍能掌握的也就这两种外音。降5级替代和弦用法以及变化和弦所常用的旋律小音阶我还很不熟练。
3, 第3个问题基本贯穿学习爵士的始终了,我目前只是初学,还没有什么心得,只会硬着头皮套用一些比较熟练的指型上的音,旋律的悦不悦耳目前还顾不上了。
---------------------------
谢谢!
 楼主| 发表于 2009-2-23 15:28:16 | 显示全部楼层
原帖由 canibal 于 2009-2-21 10:26 发表
我想问的还是刚才跟洪老师讨论的那个问题,应该还是所谓哦的首调和固定调的问题。简单的说,大家在弹A小调的时候,是把A当成6,还是当成1呢?那A大调的时候呢? 按我的理解,如果是用固定掉系统的话,不管在什么调中 ...


如果是和弦进行比较简单的a小调流行音乐或布鲁斯,即兴的时候自然是把A当成6来读更方便些,也就是用所谓首调唱名法。同样道理简单的A大调曲子即兴时当然把A听成1更好些。
但在复杂的爵士乐里面,尤其是那种转调频繁整体调性很不明显,而且使用了大量变化和弦的曲子里,就适合用固定唱名法了。
对爵士吉他手而言,熟悉吉他指板,掌握各种变化和弦的把位音型显得很重要。
我现在每天在教学生弹“53231323”之余,尽量挤出时间来啃爵士。。。
发表于 2009-2-23 17:02:25 | 显示全部楼层
原帖由 benson1600 于 2009-2-23 15:28 发表


如果是和弦进行比较简单的a小调流行音乐或布鲁斯,即兴的时候自然是把A当成6来读更方便些,也就是用所谓首调唱名法。同样道理简单的A大调曲子即兴时当然把A听成1更好些。
但在复杂的爵士乐里面,尤其是那种转调 ...


谢谢雷老师跟洪老师的解释
发表于 2009-2-23 17:30:44 | 显示全部楼层
呵呵,雷老师讲得不错。都对。
我的回答也许过于简单了,但是我是基于这个帖子的标题来说的。一首12小节爵士布鲁斯乐曲。
发表于 2009-2-23 21:03:31 | 显示全部楼层
原帖由 beaver 于 2009-2-23 17:30 发表
呵呵,雷老师讲得不错。都对。
我的回答也许过于简单了,但是我是基于这个帖子的标题来说的。一首12小节爵士布鲁斯乐曲。


明白了,其实我以前也是跟你一样,最近开始学点Jazz入门,才开始改的。太伤脑筋了。现在弹东西还是脑子改不太过来,不过会努力的。
发表于 2009-2-24 09:05:42 | 显示全部楼层
原帖由 canibal 于 2009-2-23 21:03 发表


明白了,其实我以前也是跟你一样,最近开始学点Jazz入门,才开始改的。太伤脑筋了。现在弹东西还是脑子改不太过来,不过会努力的。


你最好照照镜子,看看有没有雷老师那么大的脑门儿,如果没有,最好别研究jazz了,脑子转不过来,容易疯掉的。
我研究了国内jazz玩的好的:除了雷老师以外,上海的顾大师,镇江的钱老师,南京的妖老师。。。。。。哪个脑门儿都比我的大。。。。。。
发表于 2009-2-24 10:14:53 | 显示全部楼层
原帖由 beaver 于 2009-2-24 09:05 发表


你最好照照镜子,看看有没有雷老师那么大的脑门儿,如果没有,最好别研究jazz了,脑子转不过来,容易疯掉的。
我研究了国内jazz玩的好的:除了雷老师以外,上海的顾大师,镇江的钱老师,南京的妖老师。。。。。 ...


我丈母娘说我天庭饱满,请问,这个是脑门大的委婉说法吗
发表于 2009-2-24 10:24:03 | 显示全部楼层
原帖由 canibal 于 2009-2-24 10:14 发表


我丈母娘说我天庭饱满,请问,这个是脑门大的委婉说法吗


没见过你,不过应该面相不错,“天庭饱满地阁方圆”。。。。
看来你的爵士乐水平要比我高了。。。。
发表于 2009-2-24 12:45:20 | 显示全部楼层
原帖由 beaver 于 2009-2-24 10:24 发表


没见过你,不过应该面相不错,“天庭饱满地阁方圆”。。。。
看来你的爵士乐水平要比我高了。。。。


真要那样就好了,我还是菜鸟,在这里向大家讨教学习的.
 楼主| 发表于 2009-2-24 16:31:20 | 显示全部楼层
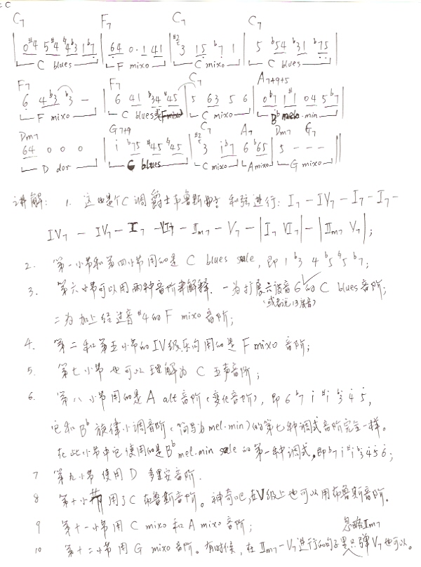
呵呵,相声要说,技术也要讨论。正所谓寓教于乐。
我再贴两个以前做的爵士布鲁斯学习笔记,用简谱记的,转调弹起来很方便。

[ 本帖最后由 benson1600 于 2009-2-24 17:04 编辑 ]
02.jpg
01.jpg
发表于 2009-2-24 16:39:10 | 显示全部楼层
jazz太难,我还没入门。。。
发表于 2009-2-24 16:39:45 | 显示全部楼层
where??????
发表于 2009-2-24 16:44:47 | 显示全部楼层
原帖由 英语老师 于 2009-2-24 16:39 发表
jazz太难,我还没入门。。。


blues中毒太生了,娃全在考虑表下情绪,没有给乐理留下空加。
 楼主| 发表于 2009-2-24 17:08:14 | 显示全部楼层
论坛规定上传附件不能超过200kb,我只能把文章用很低的分辨率来扫描了。。。
原本很清晰的原件,只能扫成这样了。
发表于 2009-2-24 21:33:44 | 显示全部楼层
学习中……,感谢LZ!!
 楼主| 发表于 2009-2-24 21:34:25 | 显示全部楼层
继续顶呀!接着讨论!
发表于 2009-2-25 19:54:50 | 显示全部楼层
好久没来,热火朝天,很好很好~~~~~~~~~~~~~
发表于 2009-2-25 20:39:43 | 显示全部楼层
我对音阶的理解是, 我练好每个把位的音阶,和他的变化。

即兴都是从这里面演变出来的。至于理论,不懂。
 楼主| 发表于 2009-2-25 22:29:01 | 显示全部楼层
原帖由 laoyao 于 2009-2-25 19:54 发表
好久没来,热火朝天,很好很好~~~~~~~~~~~~~


老妖要踊跃发言呀。
您需要登录后才可以回帖 登录 | 注册

本版积分规则

Archiver|手机版|小黑屋|吉他中国官方

GMT+8, 2026-2-17 15:48

Powered by Discuz!

© 2001-2024 Discuz! Team.

快速回复 返回顶部 返回列表