买琴买鼓,就找魔菇!

 找回密码
 注册
搜索
查看: 1606|回复: 12

[电吉他硬件] 谈谈电吉他中的线性失真和Buffer

[复制链接]
发表于 2023-2-23 16:04:43 | 显示全部楼层 |阅读模式
吉他中国微信公众号
本帖最后由 Talloran 于 2023-2-23 16:13 编辑

前言
这篇文章不仅仅是分享,也是我对于学习电吉他过程的一个知识梳理,如果有错误和遗漏欢迎指出

这篇文章也放在了我的个人博客上:https://47saikyo.moe/Article/%E7%BA%BF%E6%80%A7%E5%A4%B1%E7%9C%9F%E5%92%8C%E8%BF%90%E7%AE%97%E6%94%BE%E5%A4%A7%E5%99%A8%E7%9A%84%E5%BA%94%E7%94%A8.html


电路基础
阻抗
电吉他的系统是典型的电压驱动的交流电电路,虽然电吉他输出的是音频的模拟信号,但它仍然属于一种交流电源,只不过其交变特征携带着信息而已

我们在初中都已经学过,对于直流电路而言,电气元件对于电流的阻碍作用叫做电阻;而对于交流电而言,对于信号传输起阻碍作用的还有电路中的电抗,并分为容抗感抗
  • 我们在高中也学过,感抗是由于交流电其交变的特性,导致电路本身有阻碍其变化的趋势(即感生电动势),因为这是交流电本质的电路特性,这一点我们往往不作考虑
  • 容抗是由于电气元件自身带有的电容(就像内阻一样不可避免)对交流电的阻碍作用,一条导线(可能是吉他连接线,也可能是一个关闭后trueBypass的效果器)或多或少会由于金属屏蔽、线材长度等原因带有一定的电容

阻抗实际上是电阻、电抗的向量和
  • 因为电吉他中很少涉及相位的概念,也可以简单地认为是阻抗=电阻+电抗=电阻+(容抗+感抗)
分压电路
我们在初中也都学过,在电压驱动的串联电路中,用电器的电阻越大,其分到的电压就越多:

对于负载而言,我们往往希望负载(用电器)的阻抗即输入阻抗远大于电压源和导线阻抗(理想情况为无限大),这样才能在分压电路中使负载尽可能分到电压源的电压
  • 尤其是对于信号系统而言,我们往往希望输入源能获取到完整的电平信号

对于电源而言,我们往往希望电源输出端的阻抗即输出阻抗远小于负载阻抗(理想情况为0),这样才能在分压电路中使电源尽可能少得分到电压源的电压(就像我们往往都希望电源内阻为0一样)
  • 尤其是对于信号系统而言,我们往往希望输出源能输出完整的电平信号

我们都知道在电路中,“负载”和“电源”永远是一个相对的概念,我们可以把电压驱动的串联电路中的一个电阻和电源合并成一个新的内阻更大的等效电源来看待

换句话说,当我们看一个用电器的时候,我们希望这个用电器的阻抗是无穷大的,这样才能尽可能获得信号源的电平信号,而当这个用电器被我们使用完毕,轮到下一个用电器时,我们又希望这个用电器的阻抗是,这样合并成一个新的等效电源时才能保证尽可能把新信号源输出的电平信号供给给下一个用电器
  • 当然了,在我们高中以前的认知中,从左看和从右看的阻抗竟然是不一样的电子元件并不常见,这个需求常见于信号系统中,在其他情形的电路中并不多见
  • 举个更形象的例子,当我们电吉他的信号输出出来,我们希望它进入的第一个过载效果器的阻抗Z1是无穷大的,这样由于分压电路的原理才能完整获得电吉他的信号,而这个效果器处理完毕,信号要进入下一个失真效果器时,我们又希望刚才那个过载效果器的阻抗Z1是零,或者这个失真效果器的阻抗Z2相较于Z1是无穷大,当然理由也是同理的;反过来说如果这个过载的输出阻抗和失真的输入阻抗是一样大的,由于分压原理就会导致输出信号有一半会损耗在这个过载效果器上

这样高进低出的连接叫做阻抗匹配的连接方式,阻抗不匹配的连接方式如10kΩ的高输出阻抗的电吉他直插10kΩ低输入阻抗的调音台(一个相对高阻抗输出和一个相对低阻抗输入)就会导致电吉他输出的信号至少有一半会损耗在导线和拾音器本身上,这时候我们就需要一个可以提供阻抗匹配功能的DI盒(Direct Input Box)来转接

要注意的输出阻抗和输入阻抗的高和低永远是相对而言的,我们说电吉他是高输出阻抗往往是相对于调音台这些相对较低的输入阻抗的设备,但是如果插效果器的话电吉他就属于低输出阻抗的合理范围了

有了上面这些基础知识,我们就可以引入正文了

线性失真
谐波失真
当我们在清音的情况下拨响电吉他上的标准音A时,对时域波形进行快速傅里叶变换得到频谱图,会发现我们得到的音频信号并非一个440hz的正弦波,而是一个最低的基音是440hz,此外还包括多个440hz整数倍频率(880hz、1320hz等等...)的谐波,对于任何能够发出声音的物体,基音和不同谐波的组成比例就是决定其音色的关键性因素
  • 由于人耳的遮蔽效应,我们只能分辨出最低的基音,不论其谐波比例有多大,我们听到的仍然是一个440hz的标准音A,但是由于谐波比例的不同我们能够感知到不同的音色
20230127015634.png

当我们通过各种电气元件(滤波器、电容电感元件,均衡器等)修改这个声音的谐波组成比例时,就会导致声音的音色发生改变,偏离其原有音色,我们将其称为谐波失真,谐波失真分为奇次谐波失真偶次谐波失真
  • 频率是基音偶数倍的谐波叫做偶次谐波,对于440hz而言880hz就是偶次谐波,偶次谐波和基音的频率在音程上满足纯五度-1.5倍或者纯八度-2倍的关系,即和谐音程,所以听起来更给人以统一、温暖的感觉
  • 频率是基音奇数倍的谐波叫做奇数谐波,对于440hz而言1320hz就是奇次谐波,奇次谐波和基音的频率在音程上往往不满足和谐音程,往往就跟人以尖锐、破碎、不和谐感

20230223133036.jpg
MJBBvm.jpeg

由这张谐波的叠加后波形可以发现,我们越往基音上叠加奇次谐波,最后得到的波形越接近于方波

换句话说,失真效果器的音色就是通过削顶失真得到近似方波了增加了原有音色的奇次谐波,从而使音色变得更加尖锐、破碎

电子管放大则会在信号中混入少量的偶次谐波,导致听感上更加温暖和谐

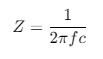
容抗公式
在交流电的并联电路中,整体阻抗仍然满足公式(论坛不支持latex...只能扔图片了)
QQ截图20230223160654.png
给定一个电容,我们可以得到容抗的计算公式:
QQ截图20230223160700.png
  • f:交流电频率;这里可以知道,电容是阻直流的,因为直流电可以认为其频率为0
  • c:电容大小

我们希望导线电容和输出端对面的负载形成的并联电路其整体阻抗尽可能地高以捕获输出的信号,由上述的并联电路阻抗计算公式可知我们需要其电容尽可能地小,使其容抗尽可能大以增大这个并联电路的阻抗
  • 此时这个电容的存在就像串联电路中的导线内阻一样讨厌
  • 就像我们只考虑串联情况下的导线内阻一样,我们也只考虑并联情况下的导线电容,我们只分析会对信号传输造成阻碍的那部分因素

此外我们还能从容抗公式中发现另一个问题:电容的容抗是会随着信号电平频率而发生变化的

高频衰减
回顾上文提到的基音和谐波,对于电吉他输出的交流信号而言,它不是简简单单的一个频率唯一的正弦波,而是可以近似认为的全频段信号(大约覆盖20-20khz的范围),对于其时域波形实际上是无数个不同频率的波形线性组合得到的结果,而导线电容对于不同频率的信号,其频率响应特性是不同的

由上述交流电并联电路的阻抗公式中可以得知:
  • 当信号频率增大时(可能单纯是一个很高的音,也有可能是一个音的高频谐波分量),即上述公式中f增大
  • 这段导线相对于这个频率信号的容抗减小
  • 由上述的并联电路的阻抗公式可知,并联电路的整体阻抗就会越小
  • 由串联电路的分压原理可知,这一段并联电路整体的分压能力更差
  • 对于这个特定的高频信号而言,输入端的信号衰减就会越严重

即导线电容对于信号的高频分量的衰减效应是大于低频分量的,信号衰减对于中高频的信号分量要更加明显,在频域图上看,其频率响应曲线是随信号频率呈现下降趋势的,而这种衰减效应还会随着导线电容的增加进一步加剧。
  • 这也可以解释为什么当采用了劣质的线材或者线路过长(总之就是整个电路的导线内电容过大)的情况下,音色会从明亮转变为暗淡(中高频的谐波分量相对被更多的衰减导致低频分量更加突出)的原因
  • 而当线材的质量比较好,采用了低电容的制作方式(更好的屏蔽层、传导率更高的线基等),这种线性失真的现象就相对不那么严重一些

运算放大器
运算放大器并非只在失真类的效果器中可以遇到,实际上许多效果器都会或多或少用到运放,比如许多压缩效果器(Compressor)常常用一个负反馈的运算放大器来实现
  • 失真效果器(Distortion)的Gain和Volume旋钮实际上前者控制的是运算放大器的反馈电路,后者控制的是输出端后一个独立的变阻器,换句话说,Gain是拧的越大,信号增益得越大;Volume拧的越小,信号衰减得越大,这也是为什么Volume不会改变输出端信号的失真度的原因

运放原理
1587809431_1_.jpg

关于运算放大器的基础知识网上已经有很多了,这里不再赘述

理想的运算放大器有两个基本的特性:
  • Vout=((IN+)-(IN-))*A且Vout<=Vcc
  • 对于输入电压相当于短路(虚短),对于输入电流相当于断路(虚断)
  • 虚短是因为这里的A是放大器的放大倍数,是代表放大器本身放大能力的固有参数,这个数值往往能达到100dB(即10万倍的放大倍率),但是实际上输出电压不会高于供电电压,为了保证公式平衡,(IN+)-(IN-)这个参数就会非常小甚至趋近于0
  • 虚断是我们对于运放的期望,即希望它的输入阻抗的无穷大的,以捕获完整的信号

虚短和虚断的特性意味着运算放大器有着高输入阻抗低输出阻抗的特性,回顾上文信号系统中阻抗匹配的需求,即便不考虑运算放大器的放大功能,运放的高进低出特性也是非常重要的

Buffer电路
Buffer电路(缓冲门)可以近似认为是一个0增益(即无放大和衰减)的放大电路,或者说一个不改变信号强度的Booster,通过运放高进低出的阻抗特性可用于许多用途
  • 实现阻抗匹配来连接原本输入阻抗相对较低的许多设备(DI盒原理)
  • 也可用作抵消Buffer之前部分的高阻抗对于之后部分的信号传输衰减的影响(Buffer效果器原理):因为当我们把信号源和运放合并成一个新的等效信号源时,不论原来的信号源内阻抗有多少,新的信号源输出阻抗都会变成0(当然这里是理想情况),抵消了前面所有部分阻抗的影响

单独的一个Buffer电路模块我们也叫做Buffer效果器
  • 在一个没有接入Buffer效果器的电路中,一个10kΩ的电吉他输出阻抗相对于1MΩ的输入阻抗已经足够小,但还不够完美,尤其是过长的吉他连接线,6m以上长度的线材很容易达到一个无法轻易忽视的阻抗,更别提开启trueBypass的效果器本身也是一段导线
  • 当接入Buffer效果器后,从其输出端我们会获得一个强度和波形与原信号几乎一样的电平信号,但此时输出阻抗大大降低,大大增强了后续电路的负载能力

实际上大多数效果器本身都具有Buffer的能力,最直接的就是失真类效果器了,它们本身就是基于运放电路实现的,只不过Buffer效果器为了不改变原信号而不对信号进行增益而已

效果器旁通
这里算一些题外话了,既然提到了Buffer电路,那么就不可避免会让人想到trueByPassbufferedBypass

大部分被动式拾音器的吉他都属于高阻抗输出的范畴,其输出阻抗约为10-30kΩ(主动式拾音器可以有更低的输出阻抗,这里不在讨论范围中)

20230202023944.png
以Roland BOSS的SD-1过载效果器在官网放出的技术指标为例:
  • SD-1的输入阻抗为1MΩ;输出阻抗为1kΩ
  • 当电吉他直插SD-1时,输入阻抗是输出阻抗的约100倍,那么只会有极少的信号因为拾音器和导线本身的阻抗而被衰减
  • 而当SD-1插入其他效果器时,输出阻抗只有1kΩ又能够保证输出信号不会有太多损耗在自己身上
这里还有一些其他有趣的指标
  • 建议负载阻抗说明了输出端对面的输入阻抗应当至少大于10kΩ
  • 旁通方式为bufferedBypass,实际上BOSS的大多数效果器都是bufferedByPass的

Buffered旁通
当我们关闭效果器时,信号需要无视这个效果器继续往下行进,而效果器通常有两种旁通方式:
bufferedBypass
  • 这种方式是信号继续通过放大电路达到输出端,但是不对信号进行增益,仅仅进行阻抗转换,此时的效果器在关闭后本身就相当于一个Buffer效果器
  • 优势是抵消了导线线材导致的音色损耗,但是运放电路本身的及其反馈电路的滤波特性会在一定程度上造成音染
trueBypass
  • 我们都知道,trueByPass的效果器在关闭效果器后信号不经过放大电路,而是通过3PDT直通到输出端,此时效果器本身就相当于一段导线
  • 优势是避免了效果器电路本身的音染,在关闭效果器后几乎不对信号产生影响,但是会加剧因为线材长度而导致的线性失真问题

区分这两种旁通方式很简单,上面已经提到过运放的输出电平不会高于供电电压,把你的效果器电源拔掉,然后试着弹琴,trueByPass的效果器会被无视掉并正常传输信号;而bufferedByPass的效果器会把信号完全阻隔,无法继续传递到后续电路

总的来说,trueByPass和bufferedBypass实际上并没有孰优孰劣,是对于两种不同音色损耗来源的取舍方式,前者着重处理放大电路带来的音染但是加剧了线材带来的音色损耗,而后者着重处理线材带来的音色损耗但是加剧了电路带来的音染

为什么在大多数效果器都具有Buffer功能的情况下仍然有Buffer效果器的需求呢?

原因在于效果器并不一定是bufferedBypass的(它们仅在开启的时候有缓冲功能),也不一定是常开的。
  • 如果你的矩阵喜欢把五六块失真类单块串在一起,然后通过不同组合的开和关来切换你的音色链,而这些单块还都是trueByPass的,这本质上相当于了你的线材长度并加剧了线材带来的音色损耗(尤其是效果器内的直通电路的屏蔽性并不一定做的足够好),trueByPass的失真在开着的时候能起到buffer的作用,但是关了后它就什么也不是,所以就会有需求放一块常开的,始终能起作用的buffer效果器了

  • 也就是说,是否需要一块Buffer效果器是要根据你效果器矩阵的实际情况和对于音色损耗的具体需求而定的

发表于 2023-2-23 20:24:19 | 显示全部楼层
吉他中国抖音
~~~~~~~~~~~~~~~~~
发表于 2023-2-24 09:33:22 | 显示全部楼层
GC视频号
理科男。上述理论上,好像应该是电源与负荷的内阻相等时,转换效率才最高?并不是楼主讲的“换句话说,当我们看一个用电器的时候,我们希望这个用电器的阻抗是无穷大的,这样才能尽可能获得信号源的电平信号”。

电吉他本身就是一台谐波、失真集一体的弦拨乐器,谈论电吉他音源的失真,似乎没有意义吧。正因为谐波与失真的不同,才有各品牌拾音器的音色不同,才有各品牌厂家吉他的代表音色。
发表于 2023-2-24 09:40:32 | 显示全部楼层
买琴买鼓,就找魔菇
而且电吉他中,音染,是电吉他音色效果之一,有音染则音色更润。音染在电吉他音色中是调料品,有喜欢的有不喜欢的,最终以个人听感为主,以音乐意境取决。
 楼主| 发表于 2023-2-24 09:42:50 来自手机 | 显示全部楼层
本帖最后由 Talloran 于 2023-2-24 12:30 编辑
极速金属 发表于 2023-2-24 09:33
理科男。上述理论上,好像应该是电源与负荷的内阻相等时,转换效率才最高?并不是楼主讲的“换句话说,当我 ...

首先,我们往往都是希望输入阻抗是越高越好的(仅仅针对电压驱动的串联电路,对于电流驱动的并联电路是相反的情形),这里的问题在于电源的作用不只是供电,还起到了信号源的作用,把这个模型抽象的话实际上是一个“等效电源-导线-负载”的串联电路,如果负载的输入阻抗低的话,输出信号就会被电源和导线分压,从而不完整,100mV的信号在50Ω的负载和50Ω电源内阻抗的情况下负载只会接收到小于50mV的信号,尤其是导线的高频衰减效应还会导致接收到的信号发生线性失真,在考虑边际效应的情况下,足够大的输入阻抗也会削减这种线材失真带来的影响,这也是buffer效果器存在的原因之一

这里谈论的失真并没有褒贬色彩,我特意提到了各种电子元件等等都会引起谐波失真,只要是导致与原本的声音发生谐波组成上的偏离的都属于谐波失真,但是我举的例子已经提到了:
  • 电子管加入的偶次谐波失真和失真类单块的奇次谐波失真都属于“我们想要”的那种失真(不过这个属于非线性失真的范畴)
  • 此外,各种效果器的音染(比如ts808经典的推中高频压缩感)本质上都是内部电路各种电子元件(如滤波电容等)的排列组合后对不同频段不同程度的衰减后得到了人们偏爱的频率响应曲线
  • 空气传播的超高频衰减、导线的高频衰减效应还有bufferedByPass中滤波电容带来的音染则属于“我们不喜欢”的那种失真

 楼主| 发表于 2023-2-24 09:45:12 来自手机 | 显示全部楼层
本帖最后由 Talloran 于 2023-2-24 12:20 编辑
Talloran 发表于 2023-2-24 09:42
首先,我们往往都是希望输入阻抗是越高越好的,这里的问题在于电源的作用不只是供电,起到了信号源的作用 ...

打错了,“这里的失真并没有褒贬色彩”

你可能没有认真看完,因为我特意在失真那里提到了电子管失真和失真类单块,我没有说过“失真是不好的”这种话,我的目的是指明“为什么电子管箱头发出来的声音往往更加给人以温暖的感觉”的原因;失真的好与坏要根据具体情况来分析
 楼主| 发表于 2023-2-24 10:00:54 来自手机 | 显示全部楼层
极速金属 发表于 2023-2-24 09:33
理科男。上述理论上,好像应该是电源与负荷的内阻相等时,转换效率才最高?并不是楼主讲的“换句话说,当我 ...

你在你的任何一个设备链上看一看参数,输入阻抗往往都是远高于输出阻抗的,很多声卡也有专门的高阻抗模式来适应电吉他这种相对高输出阻抗的乐器

我认可你说的音染本身就是电吉他音色艺术的一部分,但是我个人认为理解这种音色是怎么得到的对于音色观的塑造也有不可或缺的作用,始终根据主观的感受判断而忽视理论知识的支撑是一种对自己钱包不负责任的行为。
发表于 2023-2-24 11:53:05 | 显示全部楼层
先赞再看,gc这么低迷的情况下,还能发出如此技术贴,实属难得
发表于 2023-2-26 16:15:26 | 显示全部楼层
Talloran 发表于 2023-2-24 10:00
你在你的任何一个设备链上看一看参数,输入阻抗往往都是远高于输出阻抗的,很多声卡也有专门的高阻抗模式 ...

ID盒就是降阻抗的吧。不是输入阻抗越高越好吧。
 楼主| 发表于 2023-2-27 02:31:44 来自手机 | 显示全部楼层
本帖最后由 Talloran 于 2023-2-27 02:44 编辑
极速金属 发表于 2023-2-26 16:15
ID盒就是降阻抗的吧。不是输入阻抗越高越好吧。

你说的降阻抗指的可能就是DI盒的“高进低出”,将高阻抗输出的信号经过DI盒后变为“低阻抗输出”的信号(因为相比于电吉他和效果器输出的输出阻抗而言,调音台的接口是“低输入阻抗的”,或者说相比于调音台的电阻而言,电吉他的内阻是大到不可忽视的,而接入DI盒后本质上是让DI盒和调音台合并成一个内阻极大的新元件,这个新的内阻大到可以无视掉电吉他也就是电源的内阻)(这个例子也能说明为什么我认为输出阻抗和输入阻抗的高和低永远是相对于具体情况而言的,并没有绝对意义上的高输入阻抗),如果从这个角度上来说你说的应该是“输出阻抗”,因为输出阻抗确实是越小越好的,我觉得关于“输入阻抗为什么我们希望尽可能高”这一点我已经说得很清楚了,就像我们都希望电源的内阻无限小(也就是0)一样,得益于运放“虚断”的特性,我们可以无视运放后面的电路单独分析“电源”和“运放”两部分,那么我们自然希望运放的输入阻抗是无限大的,这样才能让电源输出的电压全部供给给运放而尽可能减少在导线和电源内阻上的损耗(这本质上是边际效应的一种运用)。如果你觉得输入阻抗并非越高越好可以说一下你的具体理由呢

我们之所以说电吉他是“高输出阻抗”,只是因为调音台或者常见的电子设备的输入阻抗还“不够高”而已,或者说这里的高和低其实并不是拿一个标准得到的,而是输出端和输入端两端的阻抗直接对比出来的,如果拿一个单块效果器而言那电吉他是妥妥的“低输出阻抗”,只不过单块输出的信号仍然相比于调音台属于“高输出阻抗”,但是这个高输出阻抗一和音箱比又属于低输出阻抗了,电吉他这个信号链路中处理的信号和调音台想接受的信号根本就不是一个水平面上的,所以才需要DI盒来转接



此外我随便找了几个DI盒的技术指标,都是输入阻抗远大于输出阻抗

发表于 2023-2-27 10:11:02 | 显示全部楼层
本帖最后由 极速金属 于 2023-2-27 10:17 编辑
Talloran 发表于 2023-2-27 02:31
你说的降阻抗指的可能就是DI盒的“高进低出”,将高阻抗输出的信号经过DI盒后变为“低阻抗输出”的信号( ...

你说的有点道理,但好像讨论的不是一回事。DI盒是用来降噪和阻抗匹配的,长距离信号线就多用DI盒,它的作用是把放大器整个信号输入回路的阻抗降低了。
发表于 2023-2-27 10:39:39 | 显示全部楼层
一般来讲,高阻抗信号回路,信号损失小,但不抗干扰,所以高阻抗信号回路线均用屏蔽线;低阻抗信号回路,信号损失大,但抗干扰,所以低阻抗信号回路线多用普通双导线。DI盒就是利用低阻抗信号回路特性,能有效降低信号传输干扰。

 楼主| 发表于 2023-2-27 14:59:24 | 显示全部楼层
极速金属 发表于 2023-2-27 10:39
一般来讲,高阻抗信号回路,信号损失小,但不抗干扰,所以高阻抗信号回路线均用屏蔽线;低阻抗信号回路,信 ...

你这两个回复说的都没问题,DI盒的降噪这一点我认为本质上还是我提到的Buffer电路的用法(降噪和阻抗匹配),既然Buffer效果器和DI盒都有运放电路,实际上二者都或多或少能同时起到两个作用,DI盒既然叫DI盒,它最核心的用途肯定还是阻抗匹配,但是增强电路宽容能力、降噪的功能是肯定有的

高阻抗的回路确实会导致更容易引入噪声干扰,这点是我欠考虑了,其实最典型的例子其实就是电吉他连接线和箱体连接线的区别,虽然两者都是大二芯的连接线,但是前者因为是高阻抗回路所以有更好的屏蔽层,但是线基相对更细,承载电平信号的能力更差;而后者因为是放大过的低阻抗信号所以屏蔽性的重要性没有前者高,但是对于线基承载电平信号的要求要大了许多
您需要登录后才可以回帖 登录 | 注册

本版积分规则

Archiver|手机版|小黑屋|吉他中国官方

GMT+8, 2025-12-22 02:05

Powered by Discuz!

© 2001-2024 Discuz! Team.

快速回复 返回顶部 返回列表