买琴买鼓,就找魔菇!

 找回密码
 注册
搜索
查看: 7151|回复: 14

较短有效弦长吉他琴弦手感的理论性详解

[复制链接]
发表于 2010-9-14 01:10:49 | 显示全部楼层 |阅读模式
吉他中国微信公众号
一,弦长与琴弦硬软的关系

---------------------------------------------

1.
先:

1) 琴弦材料无论长度如何变化,其弹性形变比例永恒不变。(恒温情况下)
2) 琴弦很截面积不变。(理想状态下)   
              
杨氏模量:file:///Users/jixiaoyue/Library/Caches/TemporaryItems/moz-screenshot.png Young's Modulus.jpg                         
                        1. E是能量(势能)。
                        2. Y是杨氏系数。
                        3. A是横截面积。
                        4. L是原长度。
                        5. ∆L是长度变化。

假设现总弦长长度为原长度的(100+x)%,也就是长度变化量也增加了x%。
根据公式可得,总弦长增加x%,势能增加x%。

---------------------------------------------

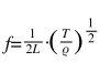
2. 动频率公式: Frequency Eq.jpg    换算以牛顿记单位,并可推出: FE in Newton.jpg
                        1. ƒ为频率。
                        2. L为有效弦长。
                        3. T为(琴弦)拉力。
                        4. ρ为(琴弦)密度。

                                 根据密度公式: Density Equation 1.jpg   转换: Density Equation 2.jpg
                                        1. ρ为密度。
                                        2. m为质量。
                                        3. V为体积。
                                        4. L为(琴弦)总长度。
                                        5. r为(琴弦)半径。
                          
                                 因为在此情况下,固体在拉力作用下的形变量可视为固定比值。
                                 所以,琴弦总长度增加,有效弦长内的琴弦密度增加。

                 
根据,有效弦长内密度增加,琴弦拉力增加。

---------------------------------------------

二,头仰角与琴弦软硬的关系

Newton‘s Third Law.jpg

图所示,简图所示为一般Les Paul的粗略形状。红色线条代表琴弦,水平线代表有效使用琴弦。左边夹角处代表琴头,右边夹角处代表琴桥。

假设:
1. 拨弦力度为w牛,拨弦力作用于琴弦。
2. 琴头与琴桥夹角均为θ。
3. 为了达到y dB的声强,所需力度为x牛。

因此,可得出, Force Required.jpg

由此可见,w衡大于x。琴头仰角越大,所需拨弦力越大。

[ 本帖最后由 晓月 于 2010-9-14 03:12 编辑 ]
 楼主| 发表于 2010-9-14 01:20:11 | 显示全部楼层
吉他中国抖音
微笑自杀。

Photo on 2010-09-14 at 03.19 #2.jpg
 楼主| 发表于 2010-9-14 01:28:15 | 显示全部楼层
GC视频号
英勇板凳。这贴发完我又有的忙了。

这边凌晨3点半了... 欢迎讨论啊~

别掖着藏着,都出来溜溜。
发表于 2010-9-14 01:52:05 | 显示全部楼层
买琴买鼓,就找魔菇
发表于 2010-9-14 07:44:31 | 显示全部楼层
真是长见识,兄弟的学术理论的确有强大的说服力。
 楼主| 发表于 2010-9-14 07:55:07 | 显示全部楼层
原帖由 时在人 于 2010-9-14 09:44 发表
真是长见识,兄弟的学术理论的确有强大的说服力。


昨天晚上太困了,懒得写下去。

简单说来就几个字,我也是算出来才明白:


增加琴弦总长度,和换粗弦,提升琴头仰角,

其实是一样的效果,都是增加琴弦能量摄取量。

这样你就觉得琴弦难拨一点,也就觉得琴弦硬了。

[ 本帖最后由 晓月 于 2010-9-14 09:57 编辑 ]
发表于 2010-9-14 21:57:14 | 显示全部楼层
   哇!   工程师!  数学专家!
发表于 2010-9-14 22:35:41 | 显示全部楼层
顶楼主!早就想问一下同样品牌型号的弦标准音放在24·75寸琴上的拉力和25寸的拉力是否不同了。看来还不单单跟有效弦长有关系,鼓励楼主学以致用的精神!希望版主加精!
发表于 2010-9-18 00:20:03 | 显示全部楼层
没看明白,   但是要顶!1
发表于 2010-9-19 09:55:12 | 显示全部楼层
物理人才 佩服  记得我上学那会数学基本满分 物理却是老是七十多分 看见物理就头大
发表于 2010-9-19 10:06:47 | 显示全部楼层
 楼主| 发表于 2010-9-19 10:36:05 | 显示全部楼层
原帖由 LoginAmps 于 2010-9-15 00:35 发表
顶楼主!早就想问一下同样品牌型号的弦标准音放在24·75寸琴上的拉力和25寸的拉力是否不同了。看来还不单单跟有效弦长有关系,鼓励楼主学以致用的精神!希望版主加精!


拉力和琴弦的单位质量,有效弦长,横截面积,及音高都有密切联系。

看下我第二个计算,表达的就是这个。
发表于 2010-11-14 14:24:28 | 显示全部楼层
纯技术贴,LZ学什么的啊?
发表于 2013-8-17 02:21:30 | 显示全部楼层
[em13] [em13] [em13]
发表于 2018-12-30 21:23:50 | 显示全部楼层
这个太厉害了
您需要登录后才可以回帖 登录 | 注册

本版积分规则

Archiver|手机版|小黑屋|吉他中国官方

GMT+8, 2025-11-28 02:35

Powered by Discuz!

© 2001-2024 Discuz! Team.

快速回复 返回顶部 返回列表