买琴买鼓,就找魔菇!

 找回密码
 注册
LAG
搜索
查看: 13167|回复: 39

[原声吉他视听] 一首很好听的smooth jazz风格的木吉他曲《法国》(附谱)

[复制链接]
发表于 2010-7-7 14:21:47 | 显示全部楼层 |阅读模式
吉他中国微信公众号
http://v.youku.com/v_show/id_XMTg3MjM4MTg0.html


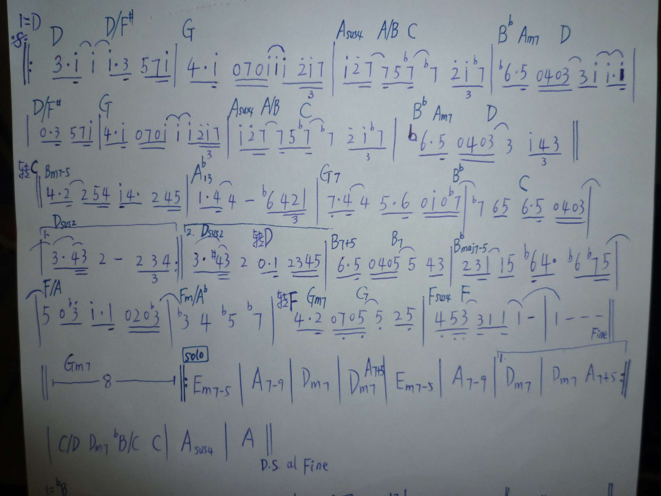
这是德国吉他手友根。库曼伦的曲子,我从一本叫《爵士摇滚吉他》的书上听到的。视频中我跟着原曲演奏。我用简谱把曲子扒下来了,需要原曲音频的朋友可以留下邮箱。
为方便琴友学习,我特意把镜头对准指板。我也刚开始练,弹错了好几个地方,见谅。
原曲的solo部分是用木吉他和电吉他交替演奏的,我扒带的时候把谱子整合了一下。

这个曲子没有伴奏,很可惜。
主题.jpg solo.jpg

[ 本帖最后由 benson1600 于 2010-8-26 16:25 编辑 ]
发表于 2010-7-7 15:50:10 | 显示全部楼层
吉他中国抖音
好琴啊~
 楼主| 发表于 2010-7-7 17:59:56 | 显示全部楼层
GC视频号
Godin尼龙弦电吉他。声音还不错。
发表于 2010-7-7 21:42:54 | 显示全部楼层
买琴买鼓,就找魔菇
benson顶一个
 楼主| 发表于 2010-7-8 12:44:39 | 显示全部楼层
原帖由 xutnirvana1 于 2010-7-7 21:42 发表
benson顶一个


哈哈,好久不见。
 楼主| 发表于 2010-7-8 22:36:49 | 显示全部楼层
喜欢弹solo的朋友可以照着谱子练习的,指法可以用我的视频做参考。
发表于 2010-7-8 22:42:47 | 显示全部楼层
恩,很好[em28] 以前听过。
 楼主| 发表于 2010-7-9 13:11:43 | 显示全部楼层
对个别小节的和弦作一下简单的分析:
1   谱子里bA13是用来替代D7#9的;
2    谱子里| bBmaj7-5 |  F/A  |  Fm/bA  |这3小节也理解为F调的和弦进行更合适;
发表于 2010-7-9 13:40:14 | 显示全部楼层
支持雷震大哥!
 楼主| 发表于 2010-7-9 17:08:26 | 显示全部楼层
原帖由 whbssgg 于 2010-7-9 13:40 发表
支持雷震大哥!


 楼主| 发表于 2010-7-11 01:04:02 | 显示全部楼层
很好的木吉他独奏曲呀,过来练练吧
发表于 2010-7-11 08:53:45 | 显示全部楼层
谢谢分享~~~
 楼主| 发表于 2010-7-11 15:24:57 | 显示全部楼层
谢谢quakejc!
 楼主| 发表于 2010-7-12 16:49:42 | 显示全部楼层
这首曲子用了大量切分节奏,对节奏感的提升大有好处,过来挑战一下吧。
 楼主| 发表于 2010-7-12 23:02:16 | 显示全部楼层
哈哈,多练练这样的曲子,水平才能上的去,听我的没错的。
 楼主| 发表于 2010-7-13 17:50:43 | 显示全部楼层
还得靠自己顶上去,这可是利国利民的事
发表于 2010-7-13 21:06:59 | 显示全部楼层
纯手工制作!哟西。。
 楼主| 发表于 2010-7-15 13:20:49 | 显示全部楼层
原帖由 gengwanfeng 于 2010-7-13 21:06 发表
纯手工制作!哟西。。


有点看不懂了。
 楼主| 发表于 2010-7-15 19:20:53 | 显示全部楼层
 楼主| 发表于 2010-7-17 21:13:32 | 显示全部楼层
还得自己来。。。一记!
 楼主| 发表于 2010-7-18 16:17:32 | 显示全部楼层
曲高必然和寡,哈哈,是不是有点自高自大
发表于 2010-7-18 18:29:04 | 显示全部楼层
发表于 2010-7-18 18:55:15 | 显示全部楼层
很棒很棒啊~
发表于 2010-7-18 18:55:16 | 显示全部楼层
很棒很棒啊~
 楼主| 发表于 2010-7-22 14:07:58 | 显示全部楼层
曲高和寡,自顶一把!
发表于 2010-7-22 15:41:47 | 显示全部楼层
貌似不怎么好听
发表于 2010-12-17 21:54:50 | 显示全部楼层
感谢LZ分享
发表于 2010-12-17 22:35:06 | 显示全部楼层
帮雷哥 顶下下
发表于 2010-12-17 23:37:11 | 显示全部楼层
坛子就要多整这种有技术含量的,支持版主大人,希望能多发这种教即兴和solo的[em28]
发表于 2010-12-17 23:51:26 | 显示全部楼层
謝謝分享,不過如果不談原曲旋律,我比較想了解的是怎麼了解遇到那些和弦能直覺知道要彈那樣的音階呢?
发表于 2010-12-18 00:41:43 | 显示全部楼层
从小音乐课不听讲,不识谱的飘过……

扒带只凭感觉,楼主这个简谱看的我十分头大,只会看六线……

[ 本帖最后由 羊角疯 于 2010-12-18 00:42 编辑 ]
 楼主| 发表于 2011-2-22 16:22:49 | 显示全部楼层
温故而知新!自顶一把!
发表于 2012-11-16 10:45:55 | 显示全部楼层
                         .
发表于 2012-11-19 17:13:35 | 显示全部楼层
好   求原音频  2423848789@qq.com
发表于 2012-11-19 17:58:38 | 显示全部楼层
说实话,缺点灵气。
发表于 2012-12-3 16:57:56 | 显示全部楼层
好琴啊
发表于 2012-12-3 21:34:56 | 显示全部楼层
发表于 2012-12-4 11:08:48 | 显示全部楼层
不顶非好汉
发表于 2012-12-12 12:46:39 | 显示全部楼层
非常好啊~节奏感很强~我喜欢solo~顶楼主!
发表于 2012-12-13 12:09:55 | 显示全部楼层
您需要登录后才可以回帖 登录 | 注册

本版积分规则

Archiver|手机版|小黑屋|吉他中国官方

GMT+8, 2025-12-2 20:05

Powered by Discuz!

© 2001-2024 Discuz! Team.

快速回复 返回顶部 返回列表